Nasu Third Paper 2081 With Solutions(Prashan)

Hello, Namaste and Welcome to you all on our special site of Loksewa preparation. This is a free and very helpful site for all the students of Loksewa(PSC). We have the great collection of Loksewa PDF Notes, Free Online Model Exams, previous year question paper and its solution, helpful tips for preparing and so on. This is a golden opportunity for preparing Loksewa exams by getting special and easy to understand free PDF Notes and solution. In this post, we have the collection of previous paper NASU 2081 with solution. We titled as Nasu Third Paper 2081 With Solutions(Prashan).

This question paper and its solution is very useful and helpful into your preparation. You can easily download and practice yourself from your home. Loksewa Sathi specially focus on those students who are not accessible for the physical classes due to different kinds of problems like your geography, financial issue and etc. We want to just help for you by providing free PDF Notes and others study materials. Our aim is to be your friend of your preparation.
Let’s see the question paper of NASU 2081 with solution.
About Nasu Third Paper Exam(Background)
- Full Marks: 100
- Pass Marks: 40
- Time: 2 hrs 30 mins
- Section: A, B & C (3-Section)
- Write your answer in different Answer-sheet

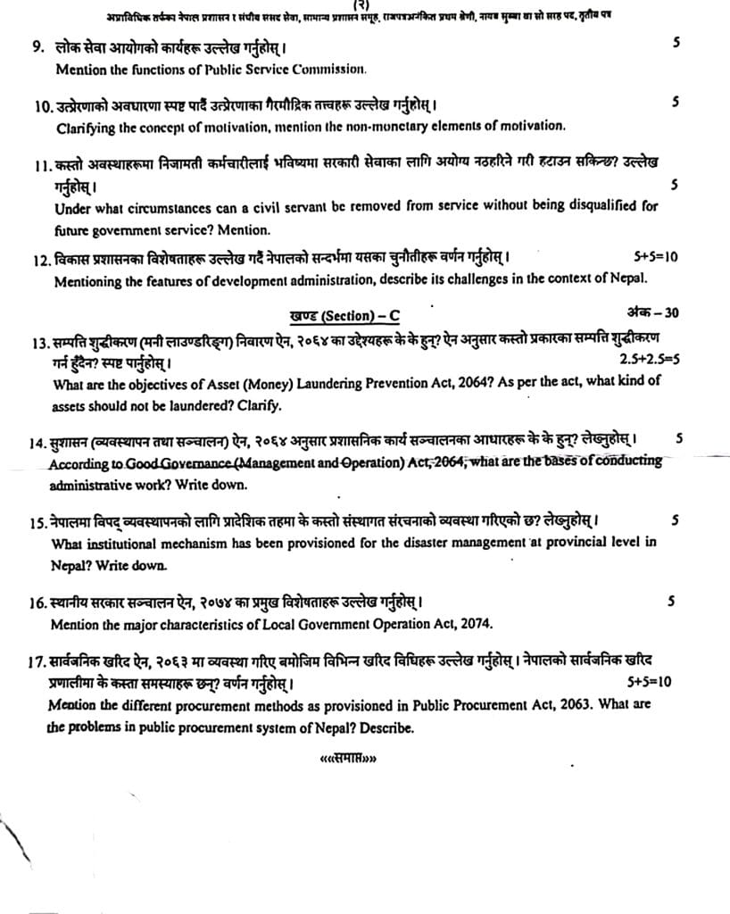
Question Paper 2081 (3rd Paper)
Prashan


Download in PDF File✅
Answer Sheet (3rd Paper)
Updating Soon…
Download PDF Notes

This is our e-Books page. We have curated PDF notes covering all the important topics for the Nasu Second Paper. These notes are concise, easy to understand, and aligned with the latest syllabus.
Attempt Online Practice Exams

Test your knowledge with our online exams specifically designed for the Kharidar/Nasu/Officer all Paper. Our mock tests help you identify your weak areas and improve your confidence before the actual exam.
Advertisement

Loksewa Sathi is dedicated to supporting your Loksewa preparation journey. With our comprehensive notes and practice exams, you can confidently face the Nasu Second Paper and excel. Start your preparation today!
Are you facing with problems in our site?
If you have any questions, comments and feedback about us and about our site. Please CLICK HERE for contact with us and give us your valuable comments. If you want to know more information about us and want to contact with us, please visit us on our About us page. You can contact us without feeling any awkward. We are trying to reply your message as soon as possible.

Thank you again for choosing Loksewa Sathi as your study partner. We are constantly working to update and add more content, so stay tuned for new materials that will help you get closer to achieving your goals. We are excited to be part of your success story.






